メッセージを簡単に暗号化できる8 Bitのチャットルーム Cryptocat ライフハッカー 日本版

非エンジニアのためのちょっと教養になる 簡単にわかる暗号の歴史 イラスト付きでわかりやすい Web担当者forum

ベストセレクション 暗号 簡単 小学生 作り方 デザイン文具
暗号 簡単 のギャラリー

第2のベッキーになつてはいけない Lineでも使える簡単な暗号
簡単なシーザー暗号プログラム Swift Phosphophyllite

ウェブテストの暗号問題の解き方 例題 Webtest Syukatsu Note

暗号クイズ 暗号の謎を解明してください 10問 クイズどうでしょう

数字暗号フォント2 Polar Star

脳トレ 簡単暗号クイズ7選 クイズラビリンス 楽天ブログ

Ssl暗号化についての予備知識 ウェブデザイン Hasegawahiroshi Jp

イラストや文字などで示した問題の暗号を見て その暗号が何を表現しているのかを答える問題です 柔軟な発想力や推理力を養うのに役立ちます 例題では ま が3 さん 個 はい 簡単ですね 答えは さんま です 暗号 クイズ 問題 クイズ 脳

Gnome Encfs Managerを使って 暗号化フォルダ を簡単に使おう Lfi

ほとんどクイズチャンネル スマホ専用 漢字暗号クイズ ちと簡単です

Seが使う便利ツール アタッシェケース ファイル単位で簡単に暗号化できるスグレモノ Usbメモリで持ち歩くファイルの暗号化に最適 急がず休まず

セカオワfukaseさんの暗号文字を簡単に書ける フカセ暗号ジェネレーター 登場 ねとらぼ

Wi Biz通信vol 43 ニュース トピックス 一般社団法人 無線lanビジネス推進連絡会 Wibiz ワイビズ メルマガ一般社団法人 無線lanビジネス推進連絡会 Wibiz ワイビズ

問答家族 クイズ 検定 脳トレ問題シーズン59

人とは違う愛の告白にも 今日からすぐに使える暗号文の書き方を調べてみた 株式会社lig
Q Tbn And9gcrlcxlj3e9sq6qfjweu1px2pslxzvbrdgsen1qyc44hfhvec33u Usqp Cau
暗号方式 とは 暗号化するときの鍵の種類 簡単な鍵 複雑な鍵 知って楽しむ ネット用語ガイドブック
Q Tbn And9gcr3bp6pbzwg Vjwy9lpduy9vyju5062mfftd4pkmjmiggcl7yym Usqp Cau

暗号化キー どこで管理しますか Hytrust Keycontrolで簡単 安心キー管理

1998 0777号 暗号化方法 暗号通信方法 認証方法及びディジタル情報の 暗号通信方法 Astamuse

トランセーファー Basicの機能 トランセーファー

Artist Nobumasa Takahashi A Twitter 街に隠した7つの ひらがなの暗号 を探し謎を解く 小さなお子様用に簡単なシールラリーも同時開催 柏の葉 七夕フェスタ 高橋信雅 謎解きワークショップ おばけからの挑戦状 その2 ひらがなの暗号を追え Http T Co

暗号クイズ 文字をずらす暗号 久保が食べたアポロ そう来たか
暗号鍵 の管理が不要に 秘密情報を簡単に管理可能にする技術 Fujitsu Journal 富士通ジャーナル

Aesqrcreator 簡単に文章を暗号化 For Android Apk Download

情報漏洩対策に有効なファイルセキュリティ運用を支える充実機能 Finalcodeとは ファイル暗号化 追跡ソリューション Finalcode

パソコン内に 簡単に暗号化した仮想ドライブを生成 究極のセキュリティソフト Blind Expert 発売 年10月9日 エキサイトニュース

暗号解説シリーズ 情報理論の父シャノンでも解けなかった 究極の暗号 バーナム暗号 を解説 Qiita

暗号化ソフト Schoolguard フォラックス教育

Winnyの通信解読に挑戦 日経クロステック Xtech

人とは違う愛の告白にも 今日からすぐに使える暗号文の書き方を調べてみた 株式会社lig

無線lan Wi Fi の暗号化 とは 盗聴されるのを防ぐ仕組み 知って楽しむ ネット用語ガイドブック
公開鍵暗号と共通鍵暗号 Sweet

暗号技術の簡単な概略 Qiita

Kpmg アメリカ人の63 が暗号化を簡単な支払い方法と考えています Coinrevolution

人とは違う愛の告白にも 今日からすぐに使える暗号文の書き方を調べてみた 株式会社lig

Amazon Liu 人工芝植物の壁 プラスチック暗号化ミラノ40x60cm 個 組み立てが簡単 屋内および屋外のプライバシー画面の背景の壁の装飾 Color Termi Size 16pack 造花 オンライン通販

共通鍵暗号方式とは Thoth Children
文字の暗号化と複合 D タイトル考え中

謎制作団体 Beast Twitterissa No 07 簡単な暗号 たった5文字の簡単な暗号文 問題文がない故に難しくなったような気もします 青字の注釈が無いと 多分正解者は出ないでしょうね 解答はdmへ ケモ謎 漢字4文字

謎解きの作り方 暗号 ハルの謎解きブログ 仮

新商品 ハッキングを防止するaencrgo セキュリティーusb リモートワーク向け 高強度の暗号 Aes256採用 専用チップで高速処理 をgloture Jpで販売開始 株式会社glotureのプレスリリース
暗号の分類

名探偵気分で 暗号 推理 パズルゲームetc にチャレンジ 子ども向け謎解き問題5問 りんごちゃんのおけいこラボ 学研の幼児ワーク

Amazon 簡単解決 暗号化 Crypt Easy アスキーソリューションズ ソフトウェア

エニグマを実装してみた Qiita

名探偵気分で 暗号 推理 パズルゲームetc にチャレンジ 子ども向け謎解き問題5問 りんごちゃんのおけいこラボ 学研の幼児ワーク

人とは違う愛の告白にも 今日からすぐに使える暗号文の書き方を調べてみた 株式会社lig
簡単 おいしい 料理レシピ クイック1レシピ 株式会社icon 暗号化セキュリティ システム構築

人とは違う愛の告白にも 今日からすぐに使える暗号文の書き方を調べてみた 株式会社lig

プチ暗号の作り方 ことばの広場

発見と発明のデジタル博物館 Rsa公開鍵暗号法のマスタ鍵の研究 入門向け

トランセーファー Basicの機能 トランセーファー

小学生ok 作り方まで徹底解説 簡単 有名な暗号15種類をクイズ形式で紹介 そう来たか
簡単な暗号化と制御がoffice 365にもたらされる
Excel関数でシーザー暗号 Astronaut Blog

人とは違う愛の告白にも 今日からすぐに使える暗号文の書き方を調べてみた 株式会社lig

Pgp ファイル暗号化ソリューション Pgp自動暗号サーバ

公開鍵暗号方式とは 初心者でもわかる公開鍵暗号方式の基礎 Udemy メディア

週末に脳活 物忘れ対策や認知症予防に思いつき暗号クイズ カラダネ 暗号 クイズ クイズ 問題 クイズ

イラストや文字などで示した問題の暗号を見て その暗号 が何を表現しているのかを答える問題です 柔軟な発想力や推理力を養うのに役立ちます 例題では ま が3 さん 個 はい 簡単ですね 答えは さんま です 暗号 クイズ 問題 クイズ 脳

人とは違う愛の告白にも 今日からすぐに使える暗号文の書き方を調べてみた 株式会社lig

暗号を支える技術

暗号化キー どこで管理しますか Hytrust Keycontrolで簡単 安心キー管理

Excel For Vba 簡単な暗号化と復号化について 徒然雑草

公開鍵暗号方式とは 共通鍵暗号方式との違いは 図で簡単解説 ワカテク 犬でもわかるitテクノロジー用語集

簡単にセーブ ロード 暗号化が実装できるeasy Save Unity アセット 初心者魂 今更聞けない使い方

鋭い洞察力があれば簡単 カードに隠された謎を解いて暗号を解読せよ 秒刊sunday

紫暗号が いとも簡単に解読されるとは 知ったかぶりの日々

暗号資産 仮想通貨 とは 仕組みやリスク 使い方を簡単に解説 Zuu Online

イラストや文字などで示した問題の暗号を見て その暗号 が何を表現しているのかを答える問題です 柔軟な発想力や推理力を養うのに役立ちます 例題では ま が3 さん 個 はい 簡単ですね 答えは さんま です 暗号 クイズ クイズ 問題 クイズ
コマンドラインで簡単にaes暗号化 または Java での Aes 暗号化 理系学生日記

文字列を簡単な置換による暗号化したい Thoth Children

暗号の作り方 子供向けに簡単な数字 ひらがな アルファベットの暗号 例文ポータル言葉のギフト

Gmailのメールを簡単に暗号化できるchrome拡張機能 Safegmail ライフハッカー 日本版

コナン 金田一 そう言うことか なーに簡単な暗号だよ 15年11月07日のイラストのボケ ボケて Bokete

セカオワfukaseさんの暗号文字を簡単に書ける フカセ暗号ジェネレーター 登場 ねとらぼ

初心者向け 情報セキュリティで使われる現代暗号の分類 Othloblog オスロブログ

無料でaes256で暗号化された静的htmlページを簡単に作成できる Staticrypt Gigazine

さぁ はじめよう 安全 簡単 仮想 クラウドマシンの暗号化 鍵管理 Youtube

スマホの下取りで簡単に個人情報漏れを防ぐ方法 Starthome
Q Tbn And9gcsyeyjfotguzen9iq65rtrkycjlrnh6xwpuixq4khgkc4u1nsvr Usqp Cau

暗号 この法則の時クジラは何 かんたん クイズファンネット

株式会社ソフトエイジェンシー Mysql Qooker Vg Sync Ip Pbx Server General

人とは違う愛の告白にも 今日からすぐに使える暗号文の書き方を調べてみた 株式会社lig

クイズファンネット ファイルno74 マッチ棒クイズ 3 8 5 の 解答

量子暗号の実用化へ前進 米中先行 日本追う 日本経済新聞
ブロック暗号の簡単な解説 Ikb 雑記帳

第2のベッキーになつてはいけない Lineでも使える簡単な暗号
3

Ssid 暗号化キーの確認方法 Sシリーズ

激ムズ暗号答えつき 8種の難しいクイズ 君は解けるかッ そう来たか

脳トレ 簡単暗号クイズ7選 Youtube

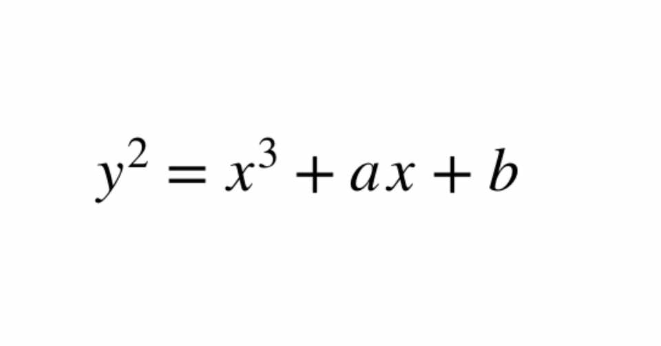
秘密鍵から公開鍵を作る楕円曲線暗号の簡単な仕組み けーご Note

ヴィジュネル暗号は簡単 Javascriptで実装してみる 実装はまだ Traveler

Railsで簡単可逆暗号 Activesupport Messageencryptor Qiita

Aesqrcreator 簡単に文章を暗号化 For Android Apk Download

プチ暗号の作り方 リベラル21

簡単 暗号化アプリ For Android Apk Download

第2のベッキーになつてはいけない Lineでも使える簡単な暗号

Fpga で作る暗号は危険 2 Acri Blog



